Boundary element method for the Helmholtz equation
Keywords:
boundary element method, Helmholtz equation, boundary integralAbstract
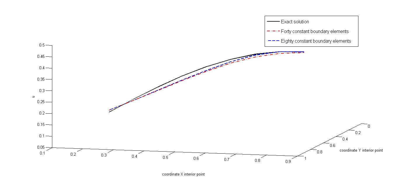
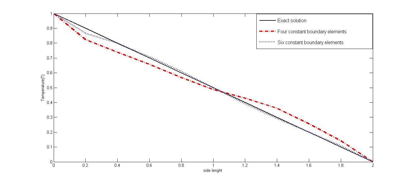
The boundary element methos is applied to the Helholtltz equation. To this end we discretized the Helmholtz equation over the boundary $\Omega$ and conclude a system of equations. By applying the boundary condition we get a new system which gives the solution of the equation.Downloads
Additional Files
Published
Issue
Section
License
Upon acceptance of an article, authors will be asked to complete a 'Journal Publishing Agreement'. An e-mail will be sent to the corresponding author confirming receipt of the manuscript together with a "Journal Publishing Agreement" form or a link to the online version of this agreement.
Journal author rights
Authors have copyright but license exclusive rights in their article to the publisher. In this case authors have the right to:
- Share their article in the same ways permitted to third parties under the relevant user license (together with Personal use rights) so long as it contains a link to the version of record on this website.
- Retain patent, trademark and other intellectual property rights (including raw research data).
- Proper attribution and credit for the published work.
Rights granted to this journal
The Journal of Mathematical Extension is granted the following rights:
- This journal will apply the relevant third party user license where this journal publishes the article on its online platforms.
- The right to provide the article in all forms and media so the article can be used on the latest technology even after publication.
- The authority to enforce the rights in the article, on behalf of an author, against third parties, for example in the case of plagiarism or copyright infringement.
Protecting author right
Copyright aims to protect the specific way the article has been written to describe an experiment and the results. This journal is committed to its authors to protect and defend their work and their reputation and takes allegations of infringement, plagiarism, ethic disputes and fraud very seriously.
If an author becomes aware of a possible plagiarism, fraud or infringement we recommend contacting the editorial office immediately.
Personal use
Authors can use their articles, in full or in part, for a wide range of scholarly, non-commercial purposes as outlined below:
- Use by an author in the author’s classroom teaching (including distribution of copies, paper or electronic)
- Distribution of copies (including through e-mail) to known research colleagues for their personal use (but not for Commercial Use)
- Inclusion in a thesis or dissertation (provided that this is not to be published commercially)
- Use in a subsequent compilation of the author’s works
- Extending the Article to book-length form
- Preparation of other derivative works (but not for Commercial Use)
- Otherwise using or re-using portions or excerpts in other works
These rights apply for all authors who publish their article in this journal. In all cases we require that all authors always include a full acknowledgement and, if appropriate, a link to the final published version hosted on this website.